Примеры решений произвольных тройных интегралов.
Физические приложения тройного интеграла
Во 2-й части урока мы отработаем технику решения произвольных тройных интегралов
, у которых подынтегральная функция трёх переменных
в общем случае отлична от константы и непрерывна в области
; а также познакомимся с физическими приложениями тройного интеграла
Вновь прибывшим посетителям рекомендую начать с 1-й части, где мы рассмотрели основные понятия и задачу нахождения объема тела с помощью тройного интеграла. Остальным же предлагаю немного повторить производные функции трёх переменных, поскольку в примерах данной статьи мы будем использовать обратную операцию – частное интегрирование функции
.
Кроме того, есть ещё один немаловажный момент: если у Вас неважное самочувствие, то прочтение этой странички по возможности лучше отложить. И дело не только в том, что сейчас возрастёт сложность вычислений – у большинства тройных интегралов нет надёжных способов ручной проверки, поэтому к их решению крайне нежелательно приступать в утомлённом состоянии. При пониженном тонусе целесообразно порешать что-нибудь попроще либо просто отдохнуть (я терпелив, подожду =)), чтобы в другой раз со свежей головой продолжить расправу над тройными интегралами:
Пример 13
Вычислить тройной интеграл

На практике тело также обозначают буквой
, но это не очень хороший вариант, ввиду того, «вэ» «зарезервировано» под обозначение объёма.
Сразу скажу, чего делать НЕ НАДО. Не нужно пользоваться свойством линейности и представлять интеграл в виде
. Хотя, если очень хочется, то можно. В конце концов, есть и небольшой плюс – запись будет хоть и длинной, но зато менее загромождённой. Но такой подход всё-таки не стандартен.
В алгоритме решения новизны будет немного. Сначала нужно разобраться с областью интегрирования. Проекция тела на плоскость
представляет собой до боли знакомый треугольник:

Сверху тело ограничено плоскостью
, которая проходит через начало координат. Предварительно, к слову, нужно обязательно проверить (мысленно либо на черновике), не «срезает» ли эта плоскость часть треугольника. Для этого находим её линию пересечения с координатной плоскостью
, т.е. решаем простейшую систему:
– нет, данная прямая (на чертеже отсутствует) «проходит мимо», и проекция тела на плоскость
действительно представляет собой треугольник.
Не сложен здесь и пространственный чертёж:

В действительности можно было ограничиться только им, поскольку проекция очень простая. …Ну, или только чертежом проекции, так как тело тоже простое =) Однако совсем ничего не чертить, напоминаю – плохой выбор.
Выберем следующий порядок обхода тела:

И перейдём к повторным интегралам:

Актуализируем следующее элементарное правило:
Когда функция
интегрируется по какой-либо переменной, то два других аргумента считаются константами. То есть принцип точно такой же, как и при нахождении частных производных от функции трёх переменных, что естественно.
Разбираемся с интегралами:
1) 
(1) При интегрировании по «зет»
и
считаются константами. В данном случае присутствует только «игрек», но это не меняет дела. Советую всегда мысленно либо на черновике выполнять проверку. Найдём частную производную по «зет»:
, что и требовалось проверить.
(2) Теперь используем формулу Ньютона-Лейбница: сначала ВМЕСТО «зет» подставляем верхний предел интегрирования
, затем – нижний предел (ноль). В результате буквы «зет» остаться не должно!
Сносим трофей в следующий интеграл. По существу, решение свелось к двум переменным и к двойному интегралу:

(1) Используем свойство линейности интеграла, принимая во внимание тот факт, что «игрек» считается константой. Следует отметить, что не возбраняется оставить интеграл единым, раскрыть скобки и привести подобные слагаемые, но это менее рациональный способ (можете попробовать).
(2) Используем метод подведения под знак дифференциала. Если рассуждения воспринимаются совсем тяжело, мысленно замените «игрек» каким-нибудь конкретным числом, например, «пятёркой».
(3) Интегрируем по «икс» и выполняем проверку:

(4) Используем формулу Ньютона-Лейбница. Сначала ВМЕСТО «икс» (переменной, по которой проводилось интегрирование) подставляем
, затем – ноль. После подстановок буквы «икс» остаться не должно!
Причёсываем результат и сносим его в последний интеграл, не теряя находящуюся там константу:

Ответ: ![]()
Результат безразмерен – просто число и всё.
Следующий пример для самостоятельного решения:
Пример 14
Вычислить тройной интеграл

Примерный образец оформления задачи в конце урока.
До сих пор мы рассматривали два способа решения – это проецирование на плоскость
и выбор порядка обхода проекции. Но на самом деле комбинаций больше – тело можно спроецировать на любую из 3 координатных плоскостей и каждую проекцию обойти 2 путями. Таким образом, получается 6 способов решения. И логично предположить, что в общем случае некоторые из них проще, а некоторые – труднее.
Наверняка многие обратили внимание, что в Примере № 13 я выбрал более редкий порядок обхода проекции, хотя ничто не мешало пойти «обычным» путём. Это не случайность.
В результате нахождения интеграла
получена сумма
, в которой чуть выгоднее считать константой именно «игрек», что при прочих равных условиях (из уравнения прямой
одинаково легко выразить
) упрощает решение. А в некоторых задачах выбор порядка интегрирования и вовсе становится ОЧЕНЬ важным:
Пример 15
Вычислить тройной интеграл

Решение: область интегрирования ограничена шестью плоскостями и представляет собой прямоугольный параллелепипед:

У незамысловатых областей можно не обращать внимания на проекцию и придерживаться следующего правила: обход тела осуществляется в направлениях координатных осей. Пределы интегрирования здесь очевидны
![]()
Но вот с порядком обхода не всё так просто. Если выбрать традиционный путь и сначала интегрировать по «зет», то получается неприятный интеграл
, который нужно брать по частям. Аналогичная история, если интегрировать по «игрек»:
, тут даже дважды по частям.
Наиболее выгодным путём является первоочередное интегрирование по «икс», в этом случае переменные
, а значит, и множитель
считаются константами:
![]()
Перед тем, как подставить пределы интегрирования, не помешает проверка:
– получена исходная подынтегральная функция.
![]()
Буква «икс» испарилась, как оно и должно быть.
Осталось 2 направления обхода
, и следующий интеграл рациональнее взять по «зет» чтобы множитель
считался константой:

Промежуточная проверка:

Гуд.

В качестве дополнительного контроля снова смотрим, исчезла ли после подстановки переменная, по которой интегрировали («зет»).
И, наконец, оставшееся направление обхода
и оставшийся интеграл:

Проверка: ![]()
![]()
При подстановках следует проявлять повышенное внимание, так, например, при подстановке нуля в выражение
второе слагаемое можно машинально счесть за ноль.
На чистовике, конечно же, не нужно всё расписывать так подробно, анализ порядка интегрирования и промежуточные проверки осуществляются мысленно либо на черновике. Решение оформляется стандартно в 3 пункта, но читатели с хорошим уровнем подготовки могут записать его и «одной строкой»:

Ответ: ![]()
Наверное, это понятно, но на всякий случай закомментирую: буквенные множители-константы следует перемещать справа налево последовательно и без «перескоков» – до тех пор, пока каждая буква «не встретит свой интеграл». Условный пример:
![]()
Аналогичное задание для самостоятельного решения:
Пример 16
Вычислить тройной интеграл

Примерный образец чистового оформления задачи в конце урока.
Чем дальше, тем интереснее:
Физические приложения тройного интеграла
Но сначала разомнёмся физически, тело – в дело =) Пожалуйста, встаньте и найдите какой-нибудь пакет или мешок. Можно коробку. Теперь походим по квартире, ну или по улице и наведём порядок. А именно, наполним тару мусором. …Очень хорошо, молодцы. В результате ваших трудов получено ограниченное тело неоднородной плотности. Как говорится, есть бумажка, а есть жестяная крышка. Воздух, кстати, тоже обладает вполне определённой плотностью. Напоминаю, что физическая плотность – есть отношение массы к объёму, например, 100 грамм на кубический метр.
Ставим мешок рядышком и читаем дальше. Рассмотрим неоднородное (переменной плотности) тело
. Если известна непрерывная в области
функция
плотности тела, то его масса равна следующему тройному интегралу:
![]()
Возможно, не всем понятен смысл функции плотности. Поясняю: если взять произвольную точку
, принадлежащую телу
, то значение функции
будет равно плотности тела в данной точке.
Только не стОит находить функцию
для пакета с мусором, иначе шнобелевская премия обеспечена =) …Хотя, с другой стороны нашлись же энтузиасты оценить суммарную площадь поверхности индийских слонов и создать математическую модель пивной пены.
Однако разрядились, и хватит. Разберём несколько тематических задач:
Пример 17
Вычислить массу неоднородного тела, ограниченного поверхностями
, если известна функция его плотности
.
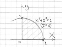
Решение: искомое тело ограничено цилиндром
сбоку, эллиптическим параболоидом
– сверху и плоскостью
– снизу. Дополнительные условия
«загоняют нас» в 1-й октант, и проекция тела на плоскость
представляет собой соответствующую «четвертинку» единичного круга:

Аналитическим методом уточним высоту, на которой параболоид пересекает цилиндр:
и выполним пространственный чертёж:

Проекция сразу же наводит на мысль о переходе к цилиндрической системе координат:

Порядок обхода тела очевиден:

Таким образом:

Вычисления элементарны:

Ответ:
Следующий пример для самостоятельного решения:
Пример 18
Вычислить массу неоднородного тела, ограниченного поверхностями
, если известна функция его плотности
.
Краткое решение в конце урока
И старая песня о главном:
Центр тяжести тела
Подобно тому, как задача о вычислении центра тяжести плоской фигуры решалась с помощью двойного интеграла, задача об отыскании центра тяжести тела решается аналогичным способом с помощью тройного интеграла.
Что такое центр тяжести тела, довольно удачно объяснил ещё Архимед. Если тело подвесить на нить за центр тяжести, то оно будет сохранять равновесие в любом положении (как бы мы его предварительно ни повернули). В известной степени не реализуемо (таки центр тяжести внутри тела), но зато очень понятно. И вполне в стиле древнегреческого учёного, который просил дать ему точку опоры, чтобы с помощью рычага перевернуть Землю.
Центр тяжести
неоднородного тела
рассчитывается по формулам:
, где
– функция плотности тела, а
– масса тела.
Если тело однородно (золотое, серебряное, платиновое и т.д.), то формулы упрощаются. Так как плотность
постоянна, и масса
– есть произведение плотности на объём, получаем:
, а объём тела рассчитывается (ещё не забыли? =)) с помощью тройного интеграла
.
Для центра тяжести однородного тела справедливы следующие утверждения:
– если у тела есть центр симметрии, то он является центром тяжести (простейший пример – центр шара);
– если у тела существует линия симметрии, то центр тяжести обязательно принадлежит данной линии;
– если у тела есть плоскость симметрии, то центр тяжести непременно лежит в этой плоскости.
Как видите, практически полная аналогия с центром тяжести плоской фигуры.
Ну и, само собой, не могу не порадовать вас заключительной задачей:
Пример 19
Найти центр тяжести однородного тела, ограниченного поверхностями
,
. Выполнить чертежи данного тела и его проекции на плоскость
.
Решение: искомое тело ограничено координатными плоскостями и плоскостью
, которую в целях последующего построения удобно представить в отрезках:
. Выберем «а» за единицу масштаба и выполним трёхмерный чертёж:

На чертеже уже поставлена готовая точка центра тяжести, однако, пока мы её не знаем.
Проекция тела на плоскость
очевидна, но, тем не менее, напомню, как её найти аналитически – ведь такие простые случаи встречаются далеко не всегда. Чтобы найти прямую, по которой пересекаются плоскости
нужно решить систему:
![]()
Подставляем значение
в 1-е уравнение:
и получаем уравнение
«плоской» прямой:

Координаты
центра тяжести
тела
вычислим по формулам
, где
– объём тела.
Выберем «классический» порядок обхода:

1) Сначала вычислим объём тела. Его, кстати, можно узнать заранее, пользуясь известной задачей геометрии об объёме тетраэдра. Объём тетраэдра равен 1/6-й объёма прямоугольного параллелепипеда, построенного на его трёх смежных рёбрах. В нашем случае параллелепипед представляет собой куб с ребром «а», и соответственно: ![]()
Осталось аккуратно провести чистовые вычисления (желающие могут потренироваться и выполнить их самостоятельно). В примерах с громоздкими преобразованиями рекомендую записывать решение столбиком – меньше шансов запутаться:
Дело за тремя тройными интегралами. ...А вы, наверное, не так давно и представить себе не могли, что окажетесь в эпицентре такого кошмара =)
2) Вычислим «иксовый» интеграл:

Таким образом, «иксовая» координата центра тяжести:

Ну что же, выглядит правдоподобно, по крайне мере, мы «попали внутрь тела».
Ввиду симметрии тетраэдра две другие координаты должны получиться такими же. Теперь ошибочный ответ практически исключён!
3) Следующая «простыня»:

В результате:

4) И заключительный, более короткий интеграл:

Отмечаем на чертеже найденную точку центра тяжести и её же записываем в
ответ: ![]()
Осталось взять мешок с мусором и чувством глубокого морального удовлетворения выбросить его… нет, в окно не надо =)
Что осталось за кадром? В сетку урока не попала редко встречающая на практике сферическая система координат, в которой положение любой точки пространства однозначно определяется одним расстоянием и двумя углами. И до сферических координат у меня таки дошли пальцы в статье Дивергенция векторного поля.
Вы постоянно сетовали на простоту примеров, и поэтому я просто не мог вам не рассказать о криволинейных и поверхностных интегралах, а также основах векторного анализа.
Желаю успехов!
Решения и ответы:
Пример 14: Решение: изобразим проекцию данного тела на плоскость
:

Сверху тело ограничено эллиптическим параболоидом
.
Выберем следующий порядок обхода:

Таким образом:

Примечание: в «зетовом» интеграле сумма
считается константой, поэтому её удобно сразу вынести в следующий интеграл.
Ответ: ![]()
Пример 16: Решение: выполним чертёж:

Выберем следующий порядок обхода тела:

Таким образом:

Ответ: ![]()
Пример 18: Решение: искомое тело ограничено эллиптическим параболоидом
снизу и конической поверхностью
– сверху; параболоид и конус пересекаются в плоскости
по окружности
(выкладки и чертёж – см. в Примере № 9 страницы Тройные интегралы). Поскольку
, то речь идёт о правом (относительно плоскости
) полупространстве, и проекцией тела на плоскость
является верхний полукруг единичного радиуса:

Массу тела вычислим с помощью тройного интеграла, используя цилиндрическую систему координат:

Порядок обхода тела:

Таким образом:

Ответ: ![]()
Автор: Емелин Александр
Высшая математика для заочников и не только >>>
(Переход на главную страницу)
Высшая математика – просто и доступно!
Наш форум, библиотека и блог:


Повторяем школьный курс
Карта сайта



© Copyright